基于结构的一站式技术服务平台
青云瑞晶关键核心技术
突破纳米晶体结构解析瓶颈,探索微晶结构新世界
精确解析药物分子结构,科学筛选优势晶型
以固态技术提升药物开发成功率
无需结晶,解析高分辨率大分子结构,突破传统结构解析瓶颈
大分子结构解析|冷冻电镜数据处理|纳米颗粒高分辨率表征




实时了解青云瑞晶最新资讯及行业热点新闻

天然产物结构多样、具有多靶点调节的生物活性,是新药发现的重要来源。明确天然产物的作用靶点,可以将传统经验用药转化为机制驱动的精准医疗,为药物研发和转化医学提供关键突破口。

在仿制药的工艺开发中,参比制剂反向工程是绕不开的关键一步,其中,辅料的内外加方式直接影响工艺路线的选择和生物等效性风险的控制。

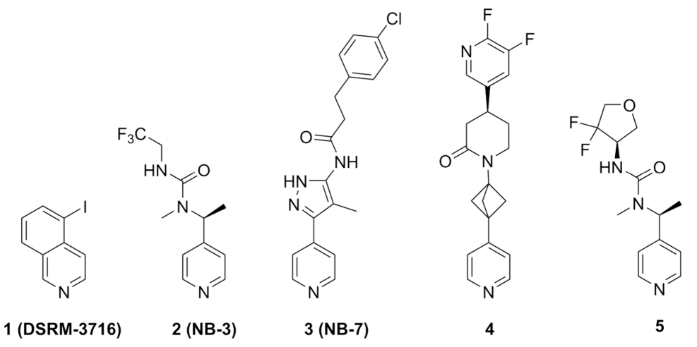
轴突退行性病变是多种神经系统疾病的共同病理特征,SARM1作为调控轴突退化的核心NAD + 水解酶,正常生理状态下其处于自抑制构象;但是当细胞受损时,NAD+ 水平下降、烟酰胺单核苷酸(NMN)累积,会触发 SARM1 激活并快速降解 NAD+,最终引发轴突退行性病变和细胞死亡。因此,抑制SARM1被认为是治疗多种神经退行性疾病的潜在策略。

各位同行,喝杯咖啡的时间,我们来聊聊一个让人“头秃”的制剂难题。乳膏状制剂中API占比较低的情况下(通常情况下占比小于1%),如何鉴定出它的晶型?
+86 18962587269(业务咨询-微信同号)
+86 15606230810(求职招聘-微信同号)
江苏省苏州市常熟高新技术产业 开发区贤士路 88 号 6 幢1001
广东省深圳市宝安区西乡街道共乐社区铁仔路52升业空间A栋317
bussiness@readcrystal.com(业务报价)
contact@readcrystal.com(其他合作)
hr@readcrystal.com(求职招聘)


版权所有 © Copyright 2024 苏州青云瑞晶生物科技有限公司 苏ICP备2021032617号 苏公网安备32058102002758号